罗尔中值定理
基本概念
f (x) 满足 1°[a,b]上连续 2°(a,b)内可导 3°f (a)=f(b) ,则至少∃ξ∈(a,b),使得f'(ξ)=0.
Note:
1. 当证明"f(ξ)=0"形式的等式时,若左侧连续,优先考虑介值定理,若左侧连续性未知,优先考虑罗尔定理.
2. 辅助函数的构造一般有3种方法:1°猜 2°不定积分 3°微分方程
3. 找2个相等点是关键
1.辅助函数的构造
①基本构造
②“缺非0因子”
原理:F‘(x)|x=ξ=0 因式分解 为f(ξ)∙g(ξ)=0
若g(ξ)≠0 证f(ξ)=0
Note:
命题老师都是坏坏的.他就故意省去恒不为零的f(ξ),让你自己用注意力主动补上f(ξ).
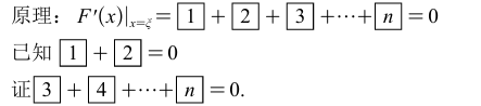
③缺项

2.找不同的两个点
①用介值定理找
②用中值定理找
罗尔中值定理
拉格朗日中值定理
积分中值定理
3.两个变化
1°1次(多次)罗尔定理
2° 费马定理
本文是原创文章,采用 CC BY-NC-ND 4.0 协议,完整转载请注明来自 AuraX
评论
匿名评论
隐私政策
你无需删除空行,直接评论以获取最佳展示效果